Login
Section Innovation in Economics, Finance and Sustainable Development

Organizational Commitment as a Predictor of Employee Performance in the Shrimp Processing Industry

Komitmen Organisasi Sebagai Prediktor Kinerja Karyawan di Industri Pengolahan Udang
Vol. 26 No. 1 (2025): January:

Afrillian Ilham Pradana (1), Rifdah Abadiyah (2)

(1) Program Studi Manajemen Fakultas Bisnis, Hukum dan Ilmu Sosial Universitas Muhammadiyah Sidoarjo , Indonesia
(2) Program Studi Manajemen Fakultas Bisnis, Hukum dan Ilmu Sosial Universitas Muhammadiyah Sidoarjo , Indonesia

Abstract:

General Background Effective Human Resources Management is crucial for organizational success and competitiveness, with employee performance being a core outcome. Specific Background Performance is often linked to organizational culture, work environment, and organizational commitment. Knowledge Gap Although these relationships are theoretically established, the specific hierarchy and magnitude of their effects in a high-production, target-oriented environment, such as the shrimp processing industry, requires empirical validation. Aims This study examines the relationship between organizational culture, work environment, organizational commitment, and employee performance at PT Panca Mitra Multiperdana Tbk Situbondo. Results Utilizing a quantitative method with a simple random sample of 86 employees, the results show that Organizational Culture and Work Environment have no significant relationship with employee performance. In contrast, Organizational Commitment is proven to be a major determinant of employee performance. Novelty This study specifies the dominance of organizational commitment over culture and physical environment in driving performance within the context of the surveyed firm. Implications The findings suggest that management should prioritize programs that bolster employee commitment to further sustain and improve overall productivity.


Highlights




  • Organizational commitment is the strongest performance predictor.




  • Culture and work environment show no significant link to performance.




  • Study conducted on 86 employees of PT Panca Mitra Multiperdana Tbk.




Keywords: Organizational Culture, Work Environment, Organizational Commitment, Employee Performance, Shrimp Industry

Downloads

Download data is not yet available.

Pendahuluan

Sumber Daya Manusia (SDM) memainkan peran penting dalam mengoptimalkan potensi SDM suatu organisasi, serta menyelaraskan strategi pengelolaan SDM dengan tujuan bisnis secara keseluruhan. Manajemen Sumber Daya Manusia yang efektif sangat penting untuk keberhasilan dan daya saing organisasi. Hal tersebut menjadi landasan pentingnya memperlakukan karyawan sebagai aset berharga dan berinvestasi dalam pengembangan serta kesejahteraan mereka. Sumber Daya Manusia (SDM) berperan sangat penting dalam menjaga keseimbangan antara kepentingan dan tujuan organisasi, karyawan, dan masyarakat. SDM juga memastikan perkem bangan holistik seluruh pemangku kepentingan sekaligus untuk mencapai tujuan perusahaan secara menyeluruh.

Kinerja adalah hasil suatu proses yang dinilai dan diukur dalam kurun waktu tertentu. Penilaian ini biasanya didasarkan pada kondisi atau kesepakatan yang telah ditentukan. Kinerja juga sering kali dituangkan dalam metrik kinerja, indikator kinerja utama (KPI), atau sasaran kinerja. Kinerja dapat dinilai dalam banyak bidang, termasuk bisnis, olahraga, pendidikan, dan banyak lagi. Ukuran serta indikator spesifik yang digunakan untuk mengevaluasi kinerja, akan bergantung pada tujuan dan sasaran dari aktivitas atau proses tertentu yang dinilai.

Kinerja karyawan sangat berpengaruh dari segi budaya organisasi. Budaya organisasi dapat berdampak besar pada moral, keterlibatan, dan produktivitas karyawan. Hal ini juga memainkan peran penting dalam menarik dan mempertahankan talenta. Individu sering kali tertarik pada organisasi dengan budaya kerja yang selaras dengan preferensi kerja mereka. Akibatnya, banyak organisasi berinvestasi dalam membentuk dan memelihara budaya organisasi yang positif dan efektif, untuk mencapai tujuan dan mempertahankan keunggulan kompetitif di industri masing-masing.

Kinerja karyawan sangat berpengaruh dari segi lingkungan kerja. Lingkungan kerja yang dirancang dan dipertimbangkan dengan matang dapat membantu meningkatkan semangat kerja, motivasi, dan produktivitas karyawan secara keseluruhan. Pengusaha harus terus menilai dan menyesuaikan lingkungan kerja untuk memenuhi kebutuhan tenaga kerja mereka yang terus berkembang.

Kinerja karyawan sangat berpengaruh dari segi komitmen organisasi. Karyawan dengan komitmen organisasi yang tinggi cenderung terlibat secara aktif dalam pekerjaan, menjadi lebih produktif, dan melampaui persyaratan pekerjaan untuk berkontribusi pada keberhasilan organisasi. Mereka percaya pada misi dan nilai-nilai organisasi, yang memotivasi untuk bekerja keras mencapai tujuan. Memahami dan membina komitmen organisasi penting bagi bisnis, sebab karyawan yang berkomitmen cenderung lebih loyal, termotivasi, dan berkontribusi positif terhadap kinerja serta kesuksesan organisasi secara keseluruhan.

PT Panca Mitra Multiperdana Tbk merupakan salah satu perusahaan yang bergerak di bidang pengolahan dan pengekspor udang. Perusahaan ini didirikan pada tahun 2004 dan telah mempekerjakan sebanyak 600 karyawan. PT Panca Mitra Multiperdana Tbk berusaha semaksimal mungkin untuk meningkatkan hasil produksi guna memenuhi permintaan pasar luar negeri. Oleh sebab itu, perusaahn terus meningkatkan produksi setiap tahunnya. Berikut data jumlah karyawan bagian pengemasan udang PT. Panca Mitra Multiperdana Tbk Situbondo:

Tahun Jumlah Karyawan Target Hasil Pengemasan Persentase Hasil Target
2020 2021 2022 520 560 600 4.160 ton 4.480 ton 4.800 ton 4.200 ton 4.800 ton 5.200 ton 0,96 % 7,1 % 8,3 %
Table 1. Tabel 1. Data Jumlah Karyawan Bagian Pengemasan Udang Sumber : PT. Panca Mitra Multiperdana Tbk

Berdasarkan persentase hasil produksi bagian pengemasan udang, produksi udang telah melebihi target yang ditetapkan perusahaan. Hal tersebut menyebabkan produktivitas kerja karyawan meningkat karena adanya pemberian insentif bagi karyawan yang mampu memenuhi target hasil produksi. Pemberian insentif tersebut sebagai upaya agar karyawan lebih bersemangat dalam menyelesaikan tugas yang diberikan. Berdasarkan informasi tersebut, peneliti tertarik untuk mengetahui dampak dan pengaruh budaya organisasi, lingkungan kerja dan komitmen organisasi terhadap kinerja karyawan.

Rumusan Masalah : Dampak pengaruh yang sangat besar dari segi budaya organisasi, lingkungan kerja dan komitmen organisasi terhadap kinerja karyawan.
Pertanyaan Penelitian : (1) Apakah budaya organisasi memiliki dampak pengaruh yang sangat besar terhadap kinerja karyawan di perusahaan PT. Panca Mitra Multiperdana Tbk Situbondo? (2) Apakah lingkungan kerja memiliki dampak pengaruh yang sangat besar kinerja karyawan di perusahaan PT. Panca Mitra Multiperdana Tbk Situbondo? (3) Apakah komitmen organisasi memiliki dampak pengaruh yang sangat besar terhadap kinerja karyawan di perusahaan PT. Panca Mitra Multiperdana Tbk Situbondo?
Research Gap : (1) Judul penelitian : Evaluasi budaya organisasi pada perusahaan untuk pembinaan digital inovasi menggunakan model pengambilan keputusan berbasis fuzzy. Penelitian untuk menyediakan organisasi yang berupaya menyelaraskan praktik budaya tujuan inovasi digital dengan wawasan berharga, penelitian ini bertujuan untuk mengembangkan model MCDM untuk evaluasi dan melakukan benchmarking budaya organisasi di perusahaan untuk mendorong inovasi digital. (2) Judul Penelitian : Survei persepsi apoteker terhadap lingkungan kerja dan pasien keamanan di apotek komunitas selama pandemi COVID-19. Penelitian Untuk mengetahui persepsi apoteker mengenai dampak pandemi COVID-19 terhadap beban kerja, bekerjalingkungan, dan keselamatan pasien di apotek komunitas (3) Judul Penelitian : Komitmen organisasi radiografer dan stres kerja Gelombang pertama Covid-19. Penelitian untuk untuk mengevaluasi komitmen organisasi radiografer dan stres kerja setelah gelombang pertama pandemi COVID-19.
Kategori SDGs : Memberikan pengetahuan, bukti, dan panduan yang diperlukan untuk memberikan informasi dalam pengambilan keputusan, mendorong inovasi, dan mempromosikan praktik berkelanjutan di berbagai sektor masyarakat.
Table 2.

Literature Review

Budaya Organisasi

Menurut di dalam penelitian menyatakan bahwa budaya organisasi mendeskripsikan nilai-nilai bersama, prinsip, kebiasaan, serta cara-cara dalam melaksanakan suatu yang mempengaruhi metode anggota organisasi dalam berperan.Budaya organisasi akan menjadikan organisasi tersebut memiliki keselarasan dalam bertindak sebagai upaya untuk mencapai tujuan. Budaya organisasi bertujuan memberikan kemudahan dalam membuat suatu perencanaan mengenai hasil laporan dan evaluasi terhadap kinerja di perusahaan. Selain itu, budaya organisasi dapat mengembangkan dan melatih seorang karyawan agar dapat meningkatkan kemampuan dalam bekerja. Hal ini dapat dimanfaatkan oleh orang dalam (karyawan dan pemimpin) untuk mempengaruhi dan menyelaraskan organisasi dengan tujuan dan nilai-nilainya, sehingga menjadi kekuatan yang kuat di tempat kerja.

Lingkungan Kerja

Menurut lingkungan kerja adalah memahami dan mencakup semua elemen-elemen fisik, sosial, dan organisasi yang sangat penting untuk menciptakan suasana kondusif yang meningkatkan produktivitas, kepuasan kerja, dan kesejahteraan karyawan. Lingkungan kerja juga sangat penting bagi pemberi kerja untuk secara teratur menilai dan menyesuaikan lingkungan kerja, untuk memenuhi perubahan kebutuhan tenaga kerja mereka. Pengaruh lingkungan kerja dapat bersifat internal dan eksternal terhadap ruang kerja fisik, dan memainkan peran penting dalam membentuk pengalaman dan hasil kerja secara keseluruhan.

Komitmen Organisasi

Menurut Komitmen organisasi mencerminkan sikap dan perilaku terhadap karyawan yang bekerja di perusahaan, dimana karyawan dapat mengidentifikasi tujuan dan harapan organisasi. Komintem organisasi sering kali melibatkan komunikasi yang efektif, visi bersama, dan peluang bagi karyawan untuk berkontribusi terhadap pencapaian tujuan. Komitmen organisasi dapat diwujudkan dalam berbagai cara, seperti bekerja ekstra untuk mencapai tujuan organisasi, tetap bersama organisasi melalui tantangan, dan berkontribusi aktif terhadap keberhasilan organisasi. Hal ini merupakan faktor penting dalam membangun tenaga kerja yang termotivasi dan terlibat yang bekerja secara kohesif dan termotivasi untuk kemajuan perusahaan.

Kinerja Karyawan

Menurutmenjelaskan kinerja karyawan adalah hasil kinerja karyawan yang dinilai dari kualitas, kuantitas dan kerja sama dalam meningkatkan kinerja karyawan di perusahaan. Kinerja karyawan dapat memposisikan diri karyawan di perusahaan dengan lebih baik untuk mencapai tujuan strategis mereka dan mempertahankan keunggulan kompetitif di industri masing-masing. Hal ini juga memungkinkan pengembangan individu karyawan melalui umpan balik dan dukungan, yang pada akhirnya menguntungkan karyawan dan organisasi.

Pengembangan Hipotesis

Dampak Pengaruh Budaya Orga nisasi Terhadap Kinerja Karyawan

Menurut budaya organisasi pada karyawan di perusahaan harus berkontribusi memajukan perusahaan. Budaya organisasi dapat menciptakan budaya yang positif dan selaras yang dapat menghasilkan motivasi, produktivitas, inovasi, dan kepuasan kerja yang lebih tinggi secara keseluruhan. Sedangkan budaya yang negatif atau tidak selaras dapat menghambat kinerja dan menimbulkan berbagai tantangan organisasi. Oleh karena itu, organisasi harus berusaha untuk menumbuhkan budaya yang mendukung tujuan dan nilai-nilai strategis sembari meningkatkan kesejahteraan dan pengembangan karyawan.

Dampak Pengaruh Lingkungan Kerja Terhadap Kinerja Karyawan

Menurut lingkungan kerja mempunyai pengaruh yang sangat besar terhadap kinerja karyawan. Organisasi yang memprioritaskan penciptaan lingkungan kerja yang positif, suportif, dan inklusif kemungkinan besar akan memperoleh tingkat keterlibatan karyawan, produktivitas, dan kepuasan kerja yang lebih tinggi. Sebaliknya, lingkungan kerja yang negatif atau tidak sehat dapat menyebabkan penurunan kinerja, tingkat turnover yang lebih tinggi, dan penurunan keberhasilan organisasi secara keseluruhan.

Dampak Pengaruh Komitmen Organisasi Terhadap Kinerja Karyawan

Menurut komitmen organisasi dapat memberikan dampak yang signifikan terhadap kinerja karyawan. Ketika karyawan berkomitmen terhadap organisasinya, hal ini sering kali menghasilkan peningkatan motivasi, kepuasan kerja, dan produktivitas secara keseluruhan. Penting bagi organisasi untuk menumbuhkan budaya yang mendorong dan memelihara komitmen karyawan. Hal tersebut dapat dilakukan melalui komunikasi yang jelas, perlakuan yang adil, pengakuan, dan peluang untuk pengembangan pribadi dan profesional. Dengan hal tersebut diharapkan mereka dapat meningkatkan kinerja karyawan untuk kesuksesan mereka sendiri

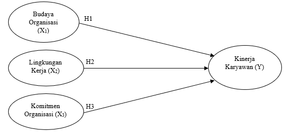
Figure 1. Gambar 1. Kerangka Konseptual

Dari gambar kerangka konseptual di atas dapat diperoleh hipotesis penelitian. Hipotesis penelitian diartikan sebagai dugaan atau pernyataan yang bersifat sementara tentang hubungan antar variabel yang bersifat logis. Hipotesis pada penelitian ini sebagai berikut :

H1: Budaya Organisasi berpengaruh sangat besar terhadap kinerja karyawan

H2 : Lingkungan Kerja berpengaruh sangat besar terhadap kinerja karyawan

H3: Komitmen Organisasi berpengaruh sangat besar terhadap kinerja karyawan

Metode Penelitian

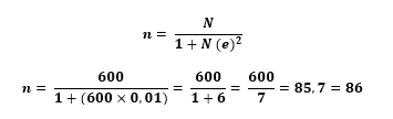
Metode penelitian yang digunakan adalah metode kuantitatif yang bertujuan untuk mengukur dan memahami hubungan antar variabel. Penelitian ini menggunakan tiga variabel independent (variabel bebas) yang berpengaruh dalam variabel dependen (variabel terikat). Variabel bebas (independent variabel) yang digunakan ialah budaya organisasi, lingkungan kerja, komitmen organisasi dan variabel terikat (dependen variabel) yang terdiri dari kinerja karyawan. Populasi dalam penelitian ini adalah seluruh karyawan PT. Panca Mitra Multiperdana Tbk di Situbondo yang berjumlah 600 karyawan. Sampel yang akan digunakan dalam penelitian ini berjumlah 86 karyawan. Teknik pengambilan sampel yang digunakan dalam penelitian ini adalah simple random sampling (pengambilan sampel acak sederhana). Untuk membuktikan bahwa hasil yang didapat sama dengan jumlah pengambilan sampel, peneliti menggunakan rumus slovin. Berikut hasil dari jumlah sampel penelitian rumus slovin :

Figure 2.

Hasil perhitungan menurut rumus diatas didapatkan n = 86 yang kemudian dibulatkan menjadi 86 orang. Sehingga, banyak sampel penelitian yang diperlukan untuk jumlah karyawan PT. Panca Mitra Multperdana Tbk Situbondo sebanyak 86 orang.

Definisi Operasional

Definisi operasional ini mengenai penelitian tersebut bisa dilihat secara jelas di tabel 2.

Variabel Definisi Operasional Indikator
Budaya Organisasi (X1) Budaya organisasi yang sehat dan kuat selaras dengan tujuan organisasi, menumbuhkan lingkungan kerja yang positif, dan membantu dalam menarik dan mempertahankan talenta. [6] (1) Karyawan harus memiliki rasa tanggung jawab yang besar dalam bekerja di perusahaan (2) Karyawan mampu menyelesaikan permasalahan di dalam perusahaan (3) Pemimpin selalu berbagi ilmu pengetahuan dengan karyawan (4) Pemimpin selalu memberikan motivasi kepada karyawan yang mengalami masalah dalam bekerja (5) Pimpinan mengatur anggota organisasi kepada seluruh karyawan supaya berjalan sesuai dengan jabatannya masing-masing di perusahaan
Lingkungan Kerja (X2) Menciptakan dan memelihara lingkungan kerja yang kondusif sangat penting bagi organisasi yang ingin menarik dan mempertahankan talenta, meningkatkan produktivitas, dan menumbuhkan budaya perusahaan yang positif. [11] (1) Lingkungan yang disediakan tempat karyawan bekerja (2) Fasilitas yang disediakan di perusahaan (3) Kondisi lingkungan kerja mempengaruhi produktifitas kinerja karyawan (4) Membangun lingkungan kerja yang produktif (5) Hubungan kerja yang baik antara karyawan dan pimpinan di lingkungan perusahaan
Komitmen Organisasi (X3) Organisasi yang secara aktif memupuk lingkungan kerja yang positif, mendorong komunikasi terbuka, dan memberikan kesempatan bagi keterlibatan karyawan akan lebih mungkin untuk melihat tingkat komitmen organisasi yang lebih tinggi di antara para pekerjanya. [8] (1) Karyawan memiliki kemauan yang kuat untuk menjalin kerja sama sesama anggota organisasi di perusahaan (2) Karyawan memiliki keinginan yang kuat untuk memajukan organisasi di perusahaan (3) Karyawan harus siap menerima resiko yang besar selama bekerja di perusahaan (4) Karyawan memiliki kepercayaan yang tinggi untuk mencapai tujuan organisasi di perusahaan Karyawan harus tetap bekerja di perusahaan walaupun banyak persaingan di dunia kerja
Kinerja Karyawan (Y) Kinerja karyawan merupakan komponen kunci keberhasilan organisasi.Dengan menyeimbangkan upaya individu dan tim dengan tujuan strategis, menumbuhkan budaya perbaikan berkelanjutan, serta memberikan dukungan dan pengakuan yang diperlukan, perusahaan dapat memposisikan diri untuk berkembang di industrinya masing-masing. [6] (1) Karyawan mampu menyelesaikan pekerjaan dengan tepat waktu (2) Karyawan selalu hadir dalam bekerja di perusahaan (3) Karyawan harus mematuhi peraturan yang diberikan oleh perusahaan (4) Karyawan diberikan apresiasi dari perusahaan karena hasil pekerjaan yang memuaskan (5) Karyawan diberikan pelatihan dan pengembangan untuk meningkatkan produktifitas kerja
Table 3. Tabel 2. Definisi Operasional Sumber: Peneliti (2023)

Setelah data dikumpulkan kan dilakukan beberapa pengujian, yakni pengujian validitas dan reabilitas. Setelah dilakukan pengujian akan dilakukan analisis data. Adapun teknik yang digunakan adalah analisis statistik deskriptif dan analisis regresi berganda dan analisis linier berganda.

Uji V aliditas

Penelitian ini dilakukan dengan uji signifikansi yang membandingkan nilai koefisien korelasi yang diperoleh dari data yang telah terkumpul, untuk menentukan nilai r hitung dengan nilai r tabel untuk melihat apakah nilai korelasi tersebut signifikan. Penelitian yang sering dilakukan dengan uji signifikansi adalah uji T dan uji F. Untuk menentukan uji hipotesis, apabila jika hasil uji T menunjukkan bahwa p-value untuk koefisien tersebut lebih kecil dari 0,05, maka kita menyimpulkan bahwa variabel independen memiliki pengaruh signifikan terhadap variabel dependen. Sebaliknya, jika p-value lebih besar dari 0,05, maka tidak ada pengaruh signifikan yang terdeteksi.

Uji Reliabilitas

Uji reabilitas dilakukan menggunakan Cronbach Alpha. Apabila nilai (koefisien korelasi) pada r hitung dengan jumlah responden yang diberikan untuk menentukan r tabel sesuai, maka dinyatakan reliabel.

Analisis Statistik Deskriptif

Analisis statistik deskriptif adalah cabang statistik yang berkaitan dengan pengumpulan, penyajian, dan karakterisasi sekumpulan data. Statistik deskriptif memberikan gambaran atau deskripsi dari data yang diamati, sering kali dalam bentuk ringkasan numerik atau grafik. [13]

Analisis Regresi B erganda dan Linier B erganda

Analisis regresi berganda dan linier berganda adalah adalah teknik analisis statistik yang digunakan untuk memodelkan hubungan antara satu variabel dependen (respons) dengan dua atau lebih variabel independen (penjelas). [13]

Hasil dan Pembahasan

Dalam penelitian ini akan menjelaskan hasil kuisioner yang sudah disebarkan kepada responden mengenai pengaruh budaya organisasi, lingkungan kerja, dan komitmen organisasi terhadap kinerja karyawan (Y). Dari angket yang telah diberikan kepada 86 orang untuk mengisi kuisioner dengan lengkap. Berikut hasil dari jawaban responden adalah sebagai berikut :

Karakteristik Responden

Jenis Kelamin Jumlah Persentase %
Laki-Laki Perempuan Total 44 42 86 51,2% 48, 8% 100%
Table 4. Tabel 3. Responden berdasarkan Jenis Kelamin

Tabel 3 menunjukkan karakteristik responden berdasarkan jenis kelamin. Responden laki-laki sebanyak 44 orang atau 51,2 %, dan wanita sebanyak 42 orang atau 48,8%. Responden yang paling banyak adalah responden laki-laki.

Usia Jumlah Persentase
19 - 28 Tahun 29 - 38 Tahun 39 - 48 Tahun >49 Tahun Total 13 24 25 24 86 15,1% 26,7% 33,7% 24,4% 100%
Table 5. Tabel 4. Responden berdasarkan Usia

Tabel 4 menunjukkan karakteristik responden berdasarkan usia. Usia responden 19 – 28 tahun sebanyak 13 orang atau 15,1%, usia 29 – 38 tahun sebanyak 24 orang atau 26,7%, usia 39 – 48 tahun sebanyak 25 orang atau 33,7%, dan usia >49 tahun sebanyak 24 orang atau 24,4%. Responden yang paling banyak adalah responden usia 39-48 tahun.

Pendidikan Jumlah Persentase
SMA/SMK Diploma S1 S2 Total 70 11 5 0 86 81,4% 12,8% 5,8% 0% 100%
Table 6. Tabel 5. Responden berdasarkan Pendidikan

Tabel 5 menunjukkan karakteristik responden berdasarkan pendidikan. Responden dengan jenjang pendidikan SMA/SMK sebanyak 70 orang atau 81,4%, Diploma sebanyak 11 orang atau 12,8%, S1 sebanyak 5 orang atau 5,8 %, dan S2 tidak ada atau 0%. Responden yang paling banyak adalah responden dengan jenjang pendidikan SMA/SMK.

Masa Kerja Jumlah Persentase
<3 Tahun 3 - 5 Tahun 5 - 8 Tahun >8 Tahun Total 17 10 4 55 86 19,8% 11,6% 4,7% 64% 100%
Table 7. Tabel 6. Responden berdasarkan Masa Kerja

Tabel 6 menunjukkan karakteristik responden berdasarkan masa kerja. Masa Kerja responden <3 tahun sebanyak 17 orang atau 19,8 %, Masa Kerja 3 – 5 tahun sebanyak 10 orang atau 11,6%, Masa Kerja 5 - 8 tahun sebanyak 4 orang atau 4,7%, dan Masa Kerja >8 tahun sebanyak 55 orang atau 64%. Responden yang paling banyak adalah responden dengan masa kerja <3 tahun.

Figure 3.

Figure 4.

Figure 5.

Figure 6. Tabel 7. Responden berdasarkan pertanyaan penelitian

Berdasarkan keterangan pada tabel 7 diatas, hasil responden kuisioner yang sudah dilihat mengenai variabel budaya organisasi (X1), lingkungan kerja (X2), Komitmen Organisasi (X3) dan Kinerja Karyawan (Y) banyak yang menjawab setuju dan sangat setuju, dari semua pertanyaan dari kuisioner yang sudah dijelaskan, untuk jumlah nilai rata-rata (mean) ternyata hasilnya berbeda-beda.

Uji Validitas dan Reliabilitas

Uji Validitas

Uji validitas yang dilakukan pada 86 responden, didapatkan nilai R tabel = 0,217. Dari R tabel yang didapat, diberikan keterangan bahwa jika nilai R hitung kurang dari R tabel (0,217) data dianggap tidak valid. Sebaliknya, jika R hitung lebih dari R tabel (0,217) data dianggap valid. Berikut adalah hasil uji validitas yang didapat :

Variabel Indikator Rhitung Rtabel Keterangan
Budaya Organisasi (X1) X1.1 X1.2 X1.3 X1.4 X1.5 X1.6 X1.7 X1.8 X1.9 0, 514 0, 434 0,493 0, 421 0,383 0,312 0,303 0,296 0,295 0, 217 0, 217 0, 217 0, 217 0, 217 0, 217 0, 217 0, 217 0, 217 Valid Valid Valid Valid Valid Valid Valid Valid Valid
Lingkungan Kerja (X2) X2.1 X2.2 X2.3 X2.4 X2.5 X2.6 X2.7 0,366 0, 395 0, 392 0, 366 0, 408 0, 338 0, 334 0, 217 0, 217 0, 217 0, 217 0, 217 0, 217 0, 217 Valid Valid Valid Valid Valid Valid Valid
Komitmen Organisasi (X3) X3.1 X3.2 X3.3 X3.4 X3.5 X3.6 X3.7 0, 557 0, 601 0, 689 0, 354 0, 465 0,482 0, 318 0, 217 0, 217 0, 217 0, 217 0, 217 0, 217 0, 217 Valid Valid Valid Valid Valid Valid Valid
Kinerja Karyawan (Y) Y.1 Y.2 Y.3 Y.4 Y.5 Y.6 Y.7 0, 389 0, 586 0, 515 0, 303 0, 382 0, 560 0, 502 0, 217 0, 217 0, 217 0, 217 0, 217 0, 217 0, 217 Valid Valid Valid Valid Valid Valid Valid
Table 8. Tabel 8. Hasil Uji Validitas Sumber: Output SPSS 22

Berdasarkan keterangan pada tabel 8 diatas, dapat dijelaskan bahwa R hitung pada variabel budaya organisasi, lingkungan kerja, dan komitmen organisasi terhadap kinerja karyawan menunjukkan R hitung > R tabel (0,217). Sehingga, dapat dinyatakan bahwa pengujian ini dianggap valid dan dapat diandalkan.

Uji Re li abilitas

Untuk uji reliabilitas, menandakan bahwa instrumen tersebut memiliki konsistensi internal yang dapat dipertanyakan, namun masih bisa dianggap reliabel jika memberikan nilai Cronbach Alpha > 0,60. Berikut hasil uji reliabilitas dapat dilihat sebagai berikut :

Variabel Cronbach Alpha N of items Syarat Keterangan
Budaya Organisasi (X1) Lingkungan Kerja (X2) Komitmen Organisasi (X3) Kinerja Karyawan (Y) 0,696 0,688 0,734 0,727 10 8 8 8 0,60 0,60 0,60 0,60 Reliabel Reliabel Reliabel Reliabel
Table 9. Tabel 9. Hasil Uji Reliabilitas Sumber: Output SPSS 22

Berdasarkan keterangan pada tabel 9 diatas sudah bisa dijelaskan bahwa semua variabel memiliki nilai Cronbach Alpha yang lebih dari 0,60. Dapat dikatakan hasil dari semua kuisioner mengenai variable budaya organisasi, lingkungan kerja, komitmen organisasi dan kinerja karyawan dinyatakan reliabel.

Hasil Analisis Statistik D eskriptif

Analisis statistik deskriptif memberikan gambaran menyeluruh tentang suatu kumpulan data dengan menggunakan berbagai ukuran seperti nilai rata-rata, standar deviasi, varian, maksimum, minimum dan jumlah total. Berikut hasil analisis deskriptif yang didapat:

Minimum Maximum Std. Deviasi
Budaya Organisasi (X1) Lingkungan Kerja (X2) Komitmen Organisasi (X3) Kinerja Karyawan (Y) 34 25 25 27 45 33 35 35 2.078 1.752 2.164 1.883
Table 10. Tabel 10. Hasil Analisis Deskriptif Sumber: Output SPSS 22

Berdasarkan hasil analisis statistik deskriptif, variabel budaya organisasi memiliki rentang nilai 34 hingga 45 dengan standar deviasi 2,078. Variabel lingkungan kerja memiliki nilai minimum 25 dan maksimum 33 dengan standar deviasi 1,752. Variabel komitmen organisasi menunjukkan rentang nilai 25 hingga 35 dengan standar deviasi 2,164. Untuk variabel terikat, yaitu kinerja karyawan, rentang nilai berkisar antara 27 hingga 35 dengan standar deviasi 1,883.

Hasil Uji Hipotesis

Untuk menentukan hasil uji hipotesis dalam penelitian, analisis model ini menggunakan analisis regresi berganda dan regresi linier berganda untuk menentukan uji T dan uji F tentang pengaruh variabel budaya organisasi (X1), lingkungan kerja (X2), dan komitmen organisasi (X3) terhadap Kinerja Karyawan (Y). Berikut hasil tabel analisis regresi berganda sebagai berikut :

Uji Hipotesis Parsial (Uji T)

Coefficientsa
Model Unstandardized Coefficients Standardized Coefficients t Sig.
B Std. Error Beta
1 (Constant) 22.497 5.175 4.347 .000
Budaya Organisasi -.067 .108 -.073 -.617 .539
Lingkungan Kerja .169 .128 .157 1.318 .191
Komitmen Organisasi .195 .093 .224 2.091 .040
a. Dependent Variable: Kinerja Karyawan
Table 11. Tabel 11. Hasil Analisis Regresi Berganda Uji T Sumber Output SPSS 22

Y = a + b1.x1 + b2.x2 + b3.x3

= 22, 497 + 0, 067 + 0, 169 + 0, 195

1. Pengaruh Budaya Organisasi (X1) Terhadap Kinerja Karyawan (Y)

Hasil analisis perhitungan uji t, variabel budaya organisasi (X1) memiliki pengaruh sebesar 0,67 dengan tingkat signifikansi negatif karena nilai signifikansi 0,539 di atas 0,05.

Nilai b1 (nilai koefisien korelasi regresi X1) sebesar 0,067, menunjukkan bahwa variabel lingkungan kerja mempunyai pengaruh yang positif setiap kenaikan satuan variabel budaya organisasi, maka akan mempengaruhi kinerja karyawan sebesar 0, 067, dengan asumsi bahwa variabel lain tidak diteliti dalam penelitian ini.

2.. Pengaruh Lingkungan Kerja (X2) Terhadap Kinerja Karyawan (Y)

Hasil analisis perhitungan uji t, variabel lingkungan kerja (X2) memiliki pengaruh positif sebesar 0,169 dengan nilai t hitung sebesar 1,318 lebih kecil dari nilai t tabel sebesar 1,989.

Nilai b2 (nilai koefisien korelasi regresi X2) sebesar 0,169, menunjukkan bahwa variabel lingkungan kerja mempunyai pengaruh yang positif setiap kenaikan satuan variabel budaya organisasi, maka akan mempengaruhi kinerja karyawan sebesar 0,169, dengan asumsi bahwa variabel lain tidak diteliti dalam penelitian ini.

3. Pengaruh Komitmen Organisasi ( X 3 ) Terhadap Kinerja Karyawan ( Y )

Hasil analisis perhitungan uji t, variabel komitmen organisasi (X3) memiliki pengaruh positif sebesar 0,195 dengan nilai t hitung sebesar 2,091 lebih besar dari nilai t tabel sebesar 1,989.

Nilai b3 (nilai koefisien korelasi regresi X3) sebesar 0, 195, menunjukkan bahwa variabel lingkungan kerja mempunyai pengaruh yang positif setiap kenaikan satuan variabel budaya organisasi, maka akan mempengaruhi kinerja karyawan sebesar 0, 195, dengan asumsi bahwa variabel lain tidak diteliti dalam penelitian ini.

Uji Hipotesis Simultan (Uji F)

ANOVAa
Model Sum of Squares df Mean Square F Sig.
1 Regression 23.901 3 7.967 2.353 .078b
Residual 277.587 82 3.385
Total 301.488 85
a. Dependent Variable: Kinerja Karyawan
b. Predictors: (Constant), Komitmen Organisasi, Budaya Organisasi, Lingkungan Kerja
Table 12. Tabel 12. Hasil Analisis Regresi Berganda untuk Uji F Sumber Output SPSS 22

Hasil perhitungan uji f, variabel budaya organisasi (X1), lingkungan kerja (X2), dan komitmen organisasi (X3) memiliki nilai signifikansi sebesar 0,078 lebih besar dari 0,05, sedangkan nilai f hitung sebesar 2,353 lebih kecil dari nilai f tabel sebesar 2,484 berarti tidak terdapat pengaruh secara simultan antara variabel budaya organisasi (X1), lingkungan kerja( X2), komitmen organisasi (X3) terhadap variabel kinerja karyawan ( Y) di PT. Panca Mita Multiperdana Tbk Situbondo.

Pembahasan

Data yang didapat akn menjadi landasan pembahasan pengaruh dari budaya organisasi, lingkungan kerja, dan komitmen organisasi terhadap kinerja karyawan. Adapun hal tersebut sebagai berikut:

a. Pengaruh Budaya Organisasi Terhadap Kinerja Karyawan

Hasil analisis data di atas menunjukkan bahwa terbukti variabel budaya organisasi berpengaruh negatif signifikan terhadap kinerja karyawan. Berdasarkan data yang didapatkan, hasil tersebut mendukung hipotesis pertama yakni budaya organisasi berpengaruh sangat besar terhadap kinerja karyawan. Hasil yang didapat didukung oleh penelitian yang dilakukan yang menyatakan bahwa dampak budaya organisasi yang negatif sangat berpengaruh secara signifikan terhadap kinerja karyawan. Namun, penelitian ini tidak sejalan dengan penelitian yang dilakukan yang menyatakan bahwa variabel budaya organisasi mempunyai pengaruh yang cukup signifikan terhadap variabel kinerja karyawan.

Pengaruh negatif dari budaya organisasi pada PT Panca Mitra Multiperdana Tbk sangat berdampak terhadap kinerja karyawan, yaitu budaya perusahaan yang buruk mendorong perilaku karyawan yang tidak etis di tempat kerja, sering bergantinya karyawan karena beberapa kemampuan karyaan yang bagus tidak pernah dihargai oleh pimpinan perusahaan. karyawan sering merasa tidak puas, stres, dan kurang termotivasi, Kinerja dan laba perusahaan mengalami penurunan karena adanya keluhan dari pelanggan mengenai kualitas produk yang akan dijual.

b. Pengaruh Lingkungan Kerja Terhadap Kinerja Karyawan

Hasil analisis data di atas menunjukkan bahwa terbukti variabel lingkungan kerja berpengaruh positif signifikan terhadap kinerja karyawan. Berdasarkan data yang didapatkan, hasil tersebut mendukung hipotesis kedua yakni lingkungan kerja berpengaruh sangat besar terhadap kinerja karyawan. Hasil yang didapat, didukung oleh penelitian yang dilakukan yang menyatakan bahwa lingkungan kerja berpengaruh positif signifikan terhadap kinerja karyawan. Namun, penelitian ini tidak sejalan dengan penelitian yang dilakukan yang menyatakan bahwa variabel lingkungan kerja tidak berpengaruh terhadap variabel kinerja karyawan.

Analisis data yang dilakukan menjelaskan bahwa di PT Panca Mitra Multiperdana Tbk Situbondo menunjukkan bahwa adanya pengaruh yang signifikan dari variabel lingkungan kerja terhadap kinerja karyawan. Perusahaan telah menyiapkan segala kebutuhan karyawan dengan lengkap. PT Panca Mita Multiperdana Tbk Situbondo memiliki gedung tempat bekerja yang layak, mess karyawan yang bisa ditinggali dengan nyaman secara gratis, dan perusahaan menyiapkan makan gratis tiga kali sehari khusus karyawan. Peralatan bekerja yang disiapkan juga memadai dan sesuai standar. Hal tersebut, membuat karyawan semakin giat bekerja serta merasa aman dan nyaman.

c. Pengaruh Komitmen Organisasi Terhadap Kinerja Karyawan

Hasil analisis data di atas menunjukkan bahwa terbukti variabel komitmen organisasi berpengaruh positif signifikan terhadap kinerja karyawan. Berdasarkan data yang didapatkan, hasil tersebut mendukung hipotesis ketiga yakni komitmen organisasi berpengaruh sangat besar terhadap kinerja karyawan. Hasil yang didapat sejalan dengan penelitian menurut menyatakan komitmen organisasi berpengaruh sangat besar terhadap kinerja karyawan.

Analisis data yang dilakukan menjelaskan bahwa di PT Panca Mita Multiperdana Tbk Situbondo menunjukkan bahwa adanya pengaruh yang signifikan dari variabel komitmen organisasi terhadap kinerja karyawan. Hal tersebut dapat terjadi karena adanya ikatan emosional yang kuat, rasa tanggung jawab, dan loyalitas antara karyawan dan perusahaan. Karyawan yang merasa terhubung dengan perusahaan melalui ikatan emosional akan cenderung lebih bersemangat, produktif, dan berkontribusi secara maksimal untuk mewujudkan tujuan bersama.

Kesimpulan

Berdasarkan hasil pembahasan mengenai pengaruh budaya organisasi, lingkungan kerja dan komitmen organisasi terhadap kinerja karyawan, dapat diberikan beberapa kesimpulan yaitu (1) variabel budaya organisasi (X1) berpengaruh negatif terhadap kinerja karyawan terbukti dari hasil uji hipotesis parsial (uji t) dengan tingkat signifikansi negatif (2) variabel lingkungan kerja (X2) berpengaruh positif terhadap kinerja karyawan dari hasil uji hipotesis parsial (uji t) dengan nilai t hitung lebih besar dari t tabel (3) variabel komitmen organisasi (X3) berpengaruh positif terhadap kinerja karyawan dari hasil uji hipotesis parsial (uji t) karena nilai t hitung lebih besar dari t tabel.

Saran

Penelitian selanjutnya dapat dilakukan dengan menambahkan variabel lain atau faktor-faktor lain yang mempengaruhi kinerja karyawan. Penelitian selanjutnya juga bisa menambahkan uji normalitas, linearitas, atau heterokedatisitas untuk menambah keakuratan hasil yang akan didapat. Selanjutnya, saran untuk PT. Panca Mitra Multiperdana Tbk (1) karyawan harus diberikan pelatihan kerja (2) Perusahaan harus banyak melakukan evaluasi kepada karyawan, tidak hanya mengevaluasi keterampilan teknis calon karyawan, tetapi juga memastikan bahwa sikap, nilai, dan sifat mereka sesuai dengan budaya perusahaan. (3) Perusahaan harus saling berkomunikasi kepada semua karyawan (4) Perusahaan perlu terus mengawasi dan mengelola lingkungan kerja

Ucapan Terima Kasih

Ucapan terimakasih penulis kepada PT Panca Mitra Multiperdana Tbk Situbondo dan seluruh pihak yang sudah meluangkan waktunya untuk ikut andil dalam pengumpulan data penelitian kami dan membantu proses penyelesaian artikel kami. Ucapan terima kasih juga disampaikan kepada seluruh pihak kepada dosen pembimbing, teman , keluarga, dan saudara yang telah membantu, berpartisipasi, dan memberikan semangat kepada saya dalam menyelesaikan artikel dengan baik.

References

[1] S. S. Pettalongi, S. O. Gintulangi, J. B. Harahap, and R. Safitri, Manajemen Sumber Daya Manusia. Medan: PT Media Penerbit Indonesia, 2024.

[2] M. D. Syahputra and H. Tanjung, "Pengaruh Kompetensi, Pelatihan Dan Pengembangan Karir," MANEGGGIO: Jurnal Ilmiah Magister Manajemen, vol. 3, pp. 283-295, 2020.

[3] N. N. Jamil and A. S. Hegiarto, "Analisis Kinerja Karyawan Ditinjau Dari Aspek Kompensasi," in Festival Riset Ilmiah Manajemen Dan Akuntansi, Bandung, 2024.

[4] C. B. Pintubatu and R. Wilian, "Pengaruh Etos Kerja Terhadap Kinerja Pegawai Dengan Disiplin Kerja Sebagai Variabel Mediasi Pada Badan Kepegawaian Daerah Provinsi Jambi," Jurnal Manajemen Bisnis Digital Terkini (JUMBIDTER), vol. 1, pp. 106-118, 2024.

[5] Asmawiyah, I. Kurniawan, and S. K. Basri, "Komitmen Organisasi Dan Kompetensi: Dua Pilar Utama Meningkatkan Kinerja," Jurnal Ilmiah Manajemen Dan Bisnis, vol. 7, pp. 461-466, 2024.

[6] L. Isnaini, "Membudayakan Nilai-Nilai Budaya Organisasi Badan Pengembangan Sumber Daya Manusia Provinsi Jambi," Jurnal Prajaiswara, vol. 1, pp. 49-67, 2020.

[7] M. T. Fadhlurrohman and Z. Wardhany, "Pengaruh Budaya Kolaboratif Dan Lingkungan Kerja Yang Kondusif Terhadap Kinerja Karyawan IT Di Organisasi BRIN," Jurnal Manajemen Bisnis Era Digital (JUMABEDI), vol. 1, pp. 204-216, 2024.

[8] M. Akbar, M. Yunus, and Syahribulan, "Pengaruh Perilaku Kerja Dan Komitmen Organisasi Terhadap Kinerja Pegawai Di Dinas Penanaman Modal Dan Pelayanan Terpadu Satu Pintu Provinsi Sulawesi Barat," Kolaborasi: Jurnal Administrasi Publik, vol. 8, pp. 242-258, 2022.

[9] C. J. Gerung, L. O. Dotulong, and M. C. Raintung, "Analisis Perbandingan Kinerja PNS Dan THL Pada Dinas Pendidikan Kabupaten Minahasa Di Masa Covid-19," Jurnal EMBA, vol. 10, pp. 418-428, 2022.

[10] W. A. Munandar, A. Samsudin, and K. Komariah, "Penerapan Budaya Organisasi Terhadap Peningkatan Kinerja Karyawan (Studi Pada CV. Desain & Bangunan Sukabumi)," Ekuitas: Jurnal Pendidikan Ekonomi, vol. 8, pp. 28-36, 2020.

[11] A. Kelawin, F. F. Lahallo, and T. Metanfanuan, "Pengaruh Lingkungan Kerja Terhadap Kinerja Pegawai Pada Kantor Kelurahan Klamana Kota Sorong," JURNAL JENDELA ILMU, vol. 2, pp. 31-33, 2021.

[12] A. E. Anggraeni and K. Yudianto, "Pengaruh Komitmen Organisasi Terhadap Kinerja Karyawan PT Angkasa Pura II Cabang Bandar Udara Internasional Husein Sastranegara Bandung Jawa Barat," JETISH: Journal Of Education Technology Information Social Sciences And Health, vol. 2, pp. 574-580, 2023.

[13] L. M. Yapanto, S. Muzfirah, N. R. Aras, and N. Sibua, Analisis Data Statistik Metode Dan Teknik. Medan: PT Media Penerbit Indonesia, 2023.

[14] E. S. Maabuat, "Pengaruh Kepemimpinan, Orientasi Kerja, Dan Budaya Organisasi Terhadap Kinerja Pegawai (Studi Pada Dispensa Sulut UPTD Tondano)," Jurnal Berkala Ilmiah Efisiensi, vol. 16, pp. 219-230, 2017.

[15] J. E. Surya, "Pengaruh Budaya Organisasi Dan Lingkungan Kerja Terhadap Kinerja Karyawan," Jurnal Ilmu Manajemen, vol. 10, pp. 759-768, 2022.

[16] A. J. Akhmad, Mappamiring, and N. Mustari, "Pengaruh Lingkungan Kerja Terhadap Kinerja Karyawan Pegawai Di Dinas Pendidikan Dan Kebudayaan Kabupaten Bulukumba," Publikasi Jurnal Ilmiah Akademik (PUJIA), vol. 3, pp. 287-298, 2023.

[17] A. D. Akhiriani and T. Risal, "Pengaruh Lingkungan Kerja Dan Gaya Kepemimpinan Terhadap Kinerja Pegawai Di Dinas Perindustrian Dan Perdagangan Provinsi Sumatera Utara," Jurnal Ekonomi, Bisnis, Dan Manajemen (EBISMEN), vol. 2, pp. 27-36, 2023.

[18] R. Angraini, A. Parawangi, and N. Mustari, "Pengaruh Komitmen Organisasi Terhadap Kinerja Pegawai Di Badan Kepegawaian Dan Diklat Daerah Kabupaten Enrekang," Publikasi Jurnal Ilmiah Akademik (PUJIA), vol. 2, pp. 875-888, 2021.

[19] B. H. Maranata, D. P. Widyaningtyas, and A. N. Istiqomah, "Pengaruh Komitmen Organisasi Terhadap Kinerja Karyawan Pada PT Bank BUMN Kota Semarang," JURNAL ARIMBI (APPLIED RESEARCH IN MANAGEMENT AND BUSINESS), vol. 2, pp. 1-10, 2022.