Login
Section Innovation in Computer Science

Geospatial Validation for Task Letter Automation in Tomohon City

Validasi Geospasial untuk Otomatisasi Surat Tugas di Kota Tomohon
Vol. 26 No. 4 (2025): October:

Efraim Moningkey (1), Annisa Salsabilah Atuna (2), Kristofel Santa (3)

(1) Program Studi Teknik Informatika, Universitas Negeri Manado, Indonesia
(2) Program Studi Teknik Informatika, Universitas Negeri Manado, Indonesia
(3) Program Studi Teknik Informatika, Universitas Negeri Manado, Indonesia

Abstract:

General background. Digital transformation is central to modernizing public services and improving administrative reliability. Specific background. At the Tomohon City Land Office, manual task letter issuance and attendance monitoring often cause delays and errors. Knowledge gap. Previous research largely focused on GPS-based attendance systems without integrating automated task letter generation. Aims. This study aims to develop a web-based information system integrating task letter automation and geospatial attendance validation using the Haversine algorithm. Results. The system automatically generates task letters, embeds geolocation data, and verifies officer attendance within a specified radius in real time. Testing confirmed accurate distance calculations, reduced administrative errors, and improved task monitoring. Novelty. The integration of Haversine-based geospatial validation with administrative automation in the land sector represents a unique contribution to digital governance. Implications. The system provides a scalable model for modernizing bureaucratic processes and supports Indonesia’s e-government initiatives through accurate, real-time monitoring of field activities.


Highlight




  • Development of a web-based system integrating task letter automation and geospatial validation




  • Accurate attendance verification through the Haversine algorithm in real time




  • Supports bureaucratic modernization and e-government initiatives in the land sector




Keyword
Web Based Information System, Haversine Algorithm, Task Assignment, Attendance Monitoring, E-Government

Downloads

Download data is not yet available.

I. INTRODUCTION

Digital transformation in the government sector has become a strategic agenda to improve efficiency, transparency, and quality of public services. The implementation of web-based information systems enables real-time data management while accelerating administrative processes that have been manual and prone to errors [1], [2], [3].

One service that still faces obstacles is the issuance of assignment letters and monitoring the attendance of field officers in government agencies. A letter of assignment is an official document that plays a vital role in assigning employees to carry out various official activities, especially field activities such as land measurement. Until now, the manual creation of assignment letters has often faced obstacles, including delays in the administrative process, slow distribution of letters, and diffiluties in monitoring the implementation of tasks in the field. These conditions can certainly have an impact on the operational effectiveness of the office and the accucary of the data produced in the land service process [4], [5].

In practice, manual task letter creation has the potential to cause delays, duplication, and data input errors. Similarly, the process of monitoring officer attendance still relies on manual reports without location-based validation, making objective verification difficult and reducing data accountability [6], [7].

This was clearly evident at the Tomohon City Land Office, where the field attendance system does not yet utilize digital technology. A number of recent studies show that the integration of Location Based Service (LBS) with the Haversine algorithm can improve the accuracy of attendance validation by calculating the distance between the coordinates of the task location and the position of the officer [8], [9], [10]. This method has proven effective in various GPS-based attendance systems because it can automatically verify the presence of employees within a certain radius [11].

Based on these issues, this study proposes the development of a web based task assignment and attendance monitoring information system with Haversine algorithm integration at the Tomohon City Land Office. This system not only automates the creation of assignment letters but also validates the attendance officers in a geospatial and realtime manner [12], [13].

The haversine approach has several adventages that make it more relevant of use in this study. The algorithm works by calculating the distance between two points on the Earth’s surface based on latitude and longitude, using simple yet fairly accurate trigonometric formulas [11]. Comparet to the more complex vicentry method, which takes into account the Earth’s ellipsoidal shape, Harversine is much less computationally demanding, making it faster to process, especially if the information system is accessed through devices with limited capacity, such as field staff’s mobile phones or tablets [10]. Meanwhile, the Euclidean method, which only calculates straight-line distances in a plane,does not consider the Earth’s curvature, so its results tend to be less accurate when applied to geographic data. Given the relatively small area of Tomohan City, Haversine is able to provide accurate distance calculations without execessive computational burden. In other words, Haversine offers a balance between accucary and efficiency, making it highly suitable for supporting practical, fast, and reliable monitoring of assignment letter locations. Thus, his study is expected to contribute theoretically to the developments of location based information system and provide practical benefits in supporting the digization of public services in the perspective, this system can accelerate the process of creating digital assignment letters while minimizing the risk of delays and data entry errors. From an operational perspevtive, this system provides a location based attendance validation mechanim for officers using the haversine algorithm, so that only attendance within a specified radius of the assignment point is considered valid.

In addition, with a web based platform, the system can be accessed flexibly without requiring special installation, making it easier for both administrators and field officers to use. On a broader scale, this system supports the modernization of bureaucracy within the Tomohon City Land Office by providing more efficient, transparatn, and realible public services. Academically, this research is also expected to contribute to the development of science, particularly in the application of geospatial algorithms to support digital based goversment administration.

However, several research gaps underlie the importance of this study. Most previous studies have focused solely on GPS based digital attendance system without integrating automates assignment letter generation. Furthermore implementation in the land sector within local goverments remains very limited. Therefore, this study offers a novel approach by developing a web-based system that combines assignment letter automation and attendance validation using the Haversine algorithm in a single, integrated platform.

II. METHOD

This study uses the research and development (R&D) method with the aim of producing a prototype of a web-based task assignment and attendance monitoring information system for officers using the Haversie algorithm [14]. The research stages refer to the waterfall model, which consists of needs analysis, design, implementation, testing, and system evaluation [15], [16].

1. Data Collection Techniques

In this study, several techniques were used to collect data, namely:

a. Observation

Observations were conducted to map the actual process of creating assignment letters, appointing officers, and the attendance process in the field at the Tomohon City Land Office. The researchers recorded the coordinates of the assignment location (lat/lng), environmental conditions during the test (weather, signal strength), and the accuracy of the device's GPS when checking in. The results of the observation were used to compile workflow notes, a list of feature requirements, interface sketches, and radius test scenarios that reflect actual operational conditions.

b. Interview

Interviews were conducted with three groups: (a) administrators/officials involved in the letter issuance process, document format and legality, and reporting requirements; (b) field officers regarding manual attendance constraints, device availability, GPS accuracy, and expectations for UX; (c) IT operators (if any) regarding infrastructure, data policy, and security aspects. The interview results were summarized into a requirement list that can be traced to system features and used as a reference for development priorities.

c. Documentation

Documents were collected, including sample assignment letters, SOPs/internal regulations, attendance records, and existing database structures. These documents were analyzed to ensure format compatibility, data traceability, and the requirements of elements to be displayed on the system. The output of this stage consists of requirements artifacts (letter templates, rules, records) and database column mapping to UI components/features to ensure that the system implementation is consistent with official procedures.

d. Literature Review

The literature study examined research and publications related to e-government, location-based attendance systems, and the application of the Haversine algorithm, accompanied by references to software testing standards (black-box/UAT) and technical references (PHP–MySQL–Leaflet/OSM). The results of the review are used as a theoretical basis, solution comparison, and design and testing reference so that the developed system is in line with current practices and scientific findings in the field.

2. Time and place of research

The research will be conducted from 29 august 2025 to 29 december 2025 with preliminary study stages (observation and interviews), system design and implementation, system design and implementation (development of assignment modules, coordinate & radius input, and haversine-based check-in), functionality testing and field testing (GPS validation/accuracy). This research was conducted at the Tomohon City Land Office, specifically the work unit that handles measurement/mapping assignments for business process observation and document collection. Field testing of this system was carried out at several task locations specified in actual assignment letters, while system testing and maintenance were carried out in the development server environment and user devices (assigned administrators).

3. Method Research & Development (R&D)

There is a step-by-step framework for producing research products in the form of information systems that can be used in practice. The framework for activities in this study follows the Research & Development (R&D) approach, which emphasizes iterative validation and improvement until the product meets user needs. The main stages are as follows:

a. Preliminary Study & Requirements Analysis, This stage focuses on gathering and analyzing requirements through business process observation, structured interviews (admin/officials, field officers, IT operators), documentation (e.g., assignment letters, SOPs, attendance records), and literature studies. The information obtained is used to formulate featurs, functions, limitations, and validation rules (e.g., attendance radius and GPS accuracy threshold). The output of this stage is a requirements documents (SRS), use case diagrams, and a list of test scenarios that will form the basis for development.

b. Product design, this stage involves designing the sutem architecture and key compnents based on the analyzed requiements. Activities include designing the user interface(admin UI for creating letters & coordinate map picker, officer UI for check-in), database structure (letters tasks, lettersofficers. Officers attendance, users tables). Workflow (coordinate & radius input flow, check in process), and validation logic design using the Haversine algorithm. The design also specifies the technologies used (HTML/CSS/JS/Bootstrap, PHP, MySQL, Leaflet/OSM) to ensure efficient and focused implementatiton.

c. Prototype development this stage is the process of implementation/coding according to the design. The developers built the core modules; creation of work orders (including input for latitude. Longitude, and radius in maters), assigments of officrs, officers check in module (taking latitude/longitude/accuracy from the device), validation endpoint (Haversine calculation+ date & accuracy rules), and summary/ monitoring (tables & map). Integration between components is done in stages until a functional prototype (MVP) is formed that is ready for testing.

d. Validation, testing, and revision This stage ensures the system runs according to specifications and is suitable for use. Testing includes:

1) Functionality testing (black-box): valid scenarios (within the radius & date range), boundary conditions (at the edge of the radius), invalid (outside the radius/date), poor accuracy (> threshold), and double check-in.

2) Haversine accuracy test (field): ≥ 30 samples at multiple locations; record task & device lat/lng, GPS accuracy, Haversine distance; calculate error vs. reference (e.g., straight-line distance from map).

3) User Acceptance Testing (UAT): Administrators and officers assess ease of use, clarity of distance/radius information, speed, and usefulness (Likert scale/SUS score).

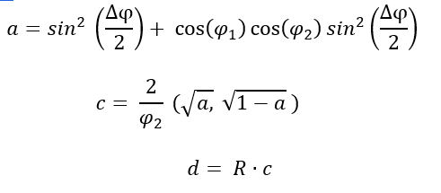
4. Haversine Algorithm

The Haversine formula is a navigation equation used to calculate the great-circle distance between two coordinate points on the Earth's surface based on latitude and longitude. Several studies in Indonesia use the haversine formula for mapping and finding the nearest location because it is simple, efficient, and accurate enough for daily operational needs.

a. How the Haversine algorithm works

Technically, the Haversine formula takes coordinate pairs (ϕ1,λ1) and (ϕ2,λ2) (in radians) and calculates the great-circle distance using trigonometric sine/cosine functions; the final result is the surface distance (not a straight "through the earth" line). In practice, Indonesian research confirms that the Haversine formula produces the shortest distance between points on a sphere’s surface and is accurate enough for most distance calculations, whole ignoring elevation variations (surface height/curvature), which are generally small in web/mobile application scenarios. The haversine formula is widely used in GPS based attendande and location search because it is easy to integrate into the backend and quick to calculate [3].

b. Haversine formulas

Here is the Haversine formula used to calculate the great-circle distance between two coordinate points:

1) For example, point 1: φ_1, λ_1; point 2: φ_2, λ_2, where the angles are in radians.

2) Difference :

Figure 1.

3) Equation :

Figure 2.

where d = distance, R = radius of the Earth (commonly used R ≈ 6,371 km or 6,371,000 m) [4].

5. Tools and Technology

Category Tools/Software Description
Hardware Laptop HP (R) Celeron(R) N120 CPU @ 1.10 @ 1.10GHz (2⁓1.1GHz RAM 4,00 GB System Development and Testing
Code Editor Visual Studio Code System code writing
Local server XAMPP Providing a server and database environment
Programming Language PHP, HTML, CSS, JavaScript, Bootstrap Used for front-end and back-end system coding.
Table 1.

To maintain data validity, cross checks are performed between the coordinates on the assignment letter and the location data sent by the officer’s GPS device. Each data collection is repeated to minimize deviations due to signal interference. Reliability is tested through varying environmental conditions (weather, building, density, and cellular signal streghth) to ensure consistent results. The system is also equipped with a GPS accurary threshold (≤ 20 meters), so data exceeding this limit is flagged for reconinformation (recheck). The tolerance radius in the Haversine calculation serves as a correction mechanism for potential GPS noise. In this way, the data obtained is not only valid in the field but also reliable to support real time task monitoring.

III. RESULTS AND DISCUSSION

1. Preliminary Study & Requirements Analysis

A preliminary study was conducted to understand the real conditions and problems faced by the Tomohon City Land Office in managing task assignments. Based on the results of observations and discussions with employes, it was found that the process of creating work orders is still done manually using printed documents, which takes a relatively long time and is prone to administrative errors. Additionally, the distribution of task assignments is not integrated, which often leads to delays in conveying information to officers. Another issue that arises is the lack of a system to monitor the attendance of officers in the field, making it difficult for the agency to ensure the accuracy of task execution. Field activity reporting is also not well documented, which ultimately complicates the evaluation and internal monitoring processes. This condition highlights the need for the development of a web-based information system capable of automating the creation of assignment letters while also providing attendance monitoring features to support transparency and accountability in performance.

Based on the preliminary study, a system requirements analysis was conducted, which was divided into functional and non-functional requirements. From a fuctional perspective, the system must provide administration with the ability to automatically generate assignment letters according to the institution’s standard dormat, manage employe data, assgiment letters, and task execution history. The system should also offer a geolocation based attendance monitoring feauture and allow employe to access assigments letters online and confirm their attendance. Meanwhile, from a non-functional perspective, equipped with multi role login security to differentiate access rights, have a structured and realional database to support data integration, and be able to run on devices available at the institution, such as windowns 10 pro with an intel Celeron N3060 processor and 4GB of RAM. Thus, the SI-MANTAP (Information System and Task Assignment Monitoring System) system design was developed as a relevant digital solution to improve the efficiency, transparency, and accountability of administration at the Land Office of Tomohon City.

2. Product Design

The product design stage translated the requirements into a detailed system architecture and interface specification. The system was designed as a three-tier web application consisting of a presentation layer (front-end), application layer (back-end), and data layer (database). The administrator interface provides modules for managing employed data, creating and editing task letters, assigning officers, and setting task locations using an interactive mal picker powered by LeaFlet.js. Each assignment letter stores coordinates (latitude, longitude) and a geofanced radius for attendance validation. The officers interface allows users to view their assigments, check in at the field location, and submit attendance confirmation. The database was designed using a relational schema with tables for© users, task letters, officer assignments, and attendance records, ensuring data integrity and traceability. The design incorporated security measures such as role-based access control, input validation, and session management to protect sensitive data and ensure authorized access only.

3. Prototype Development

The prototype was developed following the waterfall implementation phase using PHP for server-side logic, MySQL for data storage, and HTML/CSS/Bootstrap for a responsive user interface. The admin dashboard includes a dynamic form to generate assignment letters and store them digitally, while the map integration allows administrators to select task locations interactively. The officer interface was tested on various screen sizes to ensure mobile responsiveness. The Haversine algorithm was implemented in the back-end to calculate the distance between the officer’s current location (retrieved from GPS) and the task location. Attendance is automatically marked as valid when the officer is within the specified geofence radius. The prototype was iteratively refined based on feedback from preliminary internal testing to improve usability and performance before full-scale validation.

4. Validation

System validation was conducted in three stages: functional testing, field testing, and user acceptance testing (UAT). Functional testing was performed using black-box testing techniques, covering valid, boundary, and invalid cases such as check-ins inside and outside the radius, expired assignments, poor GPS accuracy (> threshold), and duplicate check-ins. Field testing was carried out at multiple real task locations to measure Haversine calculation accuracy. With results showing a high level of precision in determining officer proximity to the task site. User acceptance testing involved administratirs and officers who evaluated the system for ease of use, clarity of information, speed of processing, and overall usefulness. The majority of users reposted that the system reduced administrative workload, improved task coordination, and provided more reliable attendance records compared to the manual process. These results indicate that the SI-MANTAP system is effective and ready for deployment in the operational environment.

Discussion

The results of this study demonstrate that the development of the SI-MANTAP system successfully addresses the main problems previously identified at the Tomohon City Land Office, namely delays in task letter issuance, limited traceability of task execution, and lack of objective attendance validation. By automating the creation of assignment letters, the system significantly reduces the administrative workload and minimizes input errors that were common in the manual process. The integration of geolocation functionality using the Haversine algorithm allows for real time verification of officer presence within the designated task radius, thus improving the accuracy and accountability of attendance records.

The field validation confirmed that the Haversine implementation provided reliable distance measurements, with no significants discrepancies between calculated distances and refererences map data. This finding is consistent with previos research showing the effectiveness of Haversine dor GPS based attendance system [8], [10]. The ability to automatically reject attendance attempts outside the geofence radius reduces the potential for fraudulent check ins and strengthens the credibility of permance reports, furtgermore, the responsive web based interface proved accessible across different devides, making it easier for both administrations and field officers to interact with the system without requiring specialized software installation [17], [18].

Form a practical perspective, the implementation of SI-MANTAP contributes tp the modernization of bureaucratic processes in local government, aligning with Indonesia’s e- government intiatives to promote efficiency and tranparancy [19]. The user acceptance test results also indicate a high level of satisfaction among stakeholders, confirming that the system meets operational needs and is ready for adoption in real world settings. Future work could focus on integrating the system with mobile push notifications, reporting dashboards, and additional analytics features to further improve decision making and oversight [20].

Furthermore, future technical implementation strategies could include utilizing an API (Application Programming Interface) based architecture to enable interoperability with other government system, such as e-Office SIMPEG, or the national land information system. With this approach, Si-MANTAP would not only stand alone ut also be able to dynamically connect to the broader digital ecosystem. Polential collaboration with other government agencies, such as the National Land Agency (BPN) or the Communication and Information Agency (Diskominfo), is also an important step to ensure data standardization, information synchronization, and system security in accordance with national policy. This collaboration would not only strengthen the legitimacy of SI-MANTAP implementation but also open up opportunities for more sustainable cross regional and multi office implementation.

Study 2: System Evaluation and Performance Analysis

Following the functional and filed validation, additional performance analysis was conducted to ensure the scalability and stability of the SI-MANTAP system. Stress testing was performed by simulating multiple simultaneous check ins and letter generation requests to evaluate system responsiveness under peak load conditions. The results showed that the system could handle concurrent requests efficiently, with an average response time of less than 1.5 seconds for location validation queries and no crictical server errors encoutered during the test.

Furthmore, database perfomances was analyzed to confirm the integrity and retrieval speed of attendance records. Indexing on key tables (users, tasks, attendance) improved query performance, enabling, reali time display of monitoring data on the administrator dashboard. These findings confirm that the system in not only functionally correct but also robust enough to be deployed in a production environment [21], [22].

General Discussion

Overall, the implementation of the SI-MANTAP system provides strong evidence that integrating web-based task management with geospatial validation can substantially improve administrative efficiency and transparency in public sector operations. This study confirms that the combination of automated task letter generation, role-based data management, and geofenced attendance validation addresses critical challenges faced by government agencies in managing field operations. The findings align with previous literature on e-government system that highlight the role of digital transformation in reducing bureaucratic delays and increasing accountability.

From a theoretical perspective, this research contributes to the growing body of knowledge on the application of spatial algorithms—specifically the Haversine formula—in operational information systems. By demonstrating how geospatial computation can be embedded within routine administrative processes, this study bridges the gap between GIS-based techniques and practical e-government service delivery. The successful field validation confirms that the algorithm is sufficiently precise for operational use, even in environments with variable GPS accuracy.

Practically, the adoption of SI-MANTAP represents a step forward in achieving Indonesia’s e-government readiness goals by enabling real time monitoring if field tasks and generating verifiable attendance data. This has direct implications for improving decision making, auditing, and perfomances evaluation in land administration services. Future research could explore integration with mobile push notivications, predictive analytics for resource allocation, and interoperability with other government information system to further enhance scalability and impact.

This study shows that the SI-MANTAP system effectively addresses delays in issuing assignment letters, wek monitoring, and lack of attendance validation at the Tomohon City Land Office. The integration of the Haversine algorithm proved accurate in calculating distances and preventing fictitious absences thorugh geofences, while the web based platform facilitiates acess without special installation. However, GPS accuracy is still affected by external factors such as weather and signal conditions, which can affect validation results. To mitigate these risks, the system is equipped with a tolerance radius and manual inspection option. Further developments could include mobile notifications, predictive analytics, artificial intelligence to detect unusual absence patterns, and integration with other e-government system for greater scalability and sustainability. Thus, SI-MANTAP contributes to bureaucratic modernization while enriching studies on the application of spatial algorithms in digital governance.

IV. CONCLUSION

This study successfully designed and implemented SI-MANTAP (Assignment Letter Information and Monitoring System) as a web-based solution to automate assignment letter creation and monitor officer attendance using geospatial validation. The integration of the Haversine algorithm enables accurate distance calculations between the duty location and the officer's position, explicitly outperforming previous similar systems that relied solely on manual recording or time-based check-ins without location verification. Thus, SI-MANTAP ensurs that only valid check ins within a specified radius are recorded and captured. Future research could focus on developing the system by expanding its integration into a larger e-government ecosystem. For example, by connecting it to the integrated administrative system of regional or national goverments. This potential integration would explicitly strengthen SI-MANTAP’a long tern relevance, making not only a local solution but also a model system that cas be adopted across government agencies.

Furthermore, SI MANTAP presents a significant imorovement in the integration of assignment letter creation automation, explicitly distinguishing it from previous research that tends to focus solely on attendance system or attendance monitoring. The specific contect of its implementation, namely the Tomohon City Land Office, explicitly differentiates it from previous system generally Implemented in education or corporate settings, as it supports the unique needs of land fieldwork that requires official assignment letters and location validation for officer attendance.

Furthermore, this system explicitly emphasizes improving administrative efficiency and public service accountability, whereas previous research has focused primarily on the technical aspects of attendance, SI-MANTAP was laso designed with a log tern development vision, including the addition of mobile notification features, integration with the national land information system, and an analytical dashboard for decision marking. This explicitly emphasizes SI-MANTAP’s superiority over similar system that stop at simple attendance without further expansion strategies.

Thus, the results of this study huglight the potential of combining web technologies relational databases, and geospatial computing to modernize public service administration. SI-MANTAP not only supports the goals Indonesia’s e-government intiative but also explicitly provides a more comprehensive reference model than previous research, both in terms of technical location validation, administrative integration, and sustainable development orientation.

ACKNOWLEDGEMENTS

The authors would like to express their gratitude to the Tomohon City Land Office for granting permission and providing support during data collection and field validation. Appreciation is also extended to collagues and academic advisors from the Informatic Egineering Program at Manado State University for their valuable input and feedback throughout the research process.

References

R. A. Nugroho and Y. Purbokusumo, “E-Government Readiness: Penilaian Kesiapan Aktor Utama Penerapan E-Government di Indonesia,” Juni, vol. 22, no. 1, pp. 1–17, 2020.

S. Latifah, “Analisis Implementasi Sistem Informasi: Studi Literatur,” Jurnal Teknologi dan Pemerintahan, vol. 2, no. 2, pp. 44–52, 2024.

E. Effendy, N. Baiti, and P. Hasanah, “Pengambilan Keputusan Sistem Informasi Manajemen Dakwah,” Jurnal Pendidikan dan Konseling (JPDK), vol. 5, no. 2, pp. 4314–4320, 2023.

M. Lelet, D. R. Kaparang, and S. Pratasik, “Pengembangan Sistem Informasi Layanan Mahasiswa Fakultas Teknik Universitas Negeri Manado,” Edutik: Jurnal Pendidikan Teknologi Informasi dan Komunikasi, vol. 3, no. 1, pp. 138–148, 2023, doi: 10.53682/edutik.v3i1.6867.

P. T. D. Rompas, V. P. Rantung, and A. Lansart, “Perancangan Aplikasi Repository Laporan Kerja Praktek Mahasiswa,” JIBEIT, vol. 2, no. 1, pp. 1–12, 2024.

A. A. Ma’shum, D. Remawati, and B. W. Yudhanto, “Implementasi Metode Location Based Services pada Sistem Presensi Pegawai,” Jurnal Teknologi Informasi dan Komunikasi (TIKomSiN), vol. 10, no. 2, p. 47, 2022, doi: 10.30646/tikomsin.v10i2.651.

M. Hilman, N. Hidayanti, E. Nuryani, and R. Budiman, “Sistem Informasi Permintaan Barang dan Jasa Fasilitas Umum,” Jurnal Ilmiah Sains dan Teknologi, vol. 7, no. 2, pp. 124–137, 2023, doi: 10.47080/saintek.v7i2.2642.

G. A. Prasojo and C. Cahyaningtyas, “Implementasi Algoritma Haversine Formula dengan Global Positioning System pada Sistem Absensi Pegawai,” Jurnal Komputer Teknologi Informasi Sistem Informasi (JUKTISI), vol. 4, no. 2, pp. 598–607, 2025, doi: 10.62712/juktisi.v4i2.469.

Y. M. Rohmatulloh, B. A. Herlambang, and S. Wibowo, “Implementasi Algoritma Haversine Formula pada Aplikasi Sadewa (Sistem Informasi Destinasi Wisata) Kota Salatiga Berbasis Android,” Jurnal Teknologi Informasi dan Komunikasi (TIKomSiN), vol. 10, no. 1, pp. 9–14, 2022, doi: 10.30646/tikomsin.v10i1.598.

M. Hasanah, C. Carudin, and I. Purnamasari, “Implementasi Algoritma Haversine pada Fitur Geolocation Aplikasi Pencarian Terapis Baby Spa,” Concept and Communication, no. 23, pp. 301–316, 2020.

M. Hasanah and A. Suharso, “Algoritma Haversine pada Sistem Informasi Geografis: Tinjauan Literatur Sistematis,” Nuansa Informatika, vol. 17, no. 2, pp. 135–143, 2023, doi: 10.25134/ilkom.v17i2.10.

W. Gede, E. Bratha, and M. Manajemen, “Literature Review Komponen Sistem Informasi Manajemen: Software, Database dan Brainware,” JEMSI, vol. 3, no. 3, pp. 344–360, 2022.

G. Mulia, X. Najoan, and A. Lumenta, “Analisa Teknologi Hyper Text Markup Language (HTML) Versi 5,” Jurnal Teknik Informatika, vol. 1, no. 2, pp. 1–6, 2022.

U. K. Siregar, T. A. Sitakar, S. Haramain, Z. N. S. Lubis, and U. Nadhirah, “Pengembangan Database Management System Menggunakan MySQL,” SAINTEK: Jurnal Sains, Teknologi & Komputer, vol. 1, no. 1, pp. 8–12, 2024.

O. Kembuan and G. C. Rorimpandey, “Perancangan Aplikasi Penjadwalan Perkuliahan Berbasis Web (Studi Kasus: Program Studi Teknik Informatika, Universitas Negeri Manado),” Frontiers: Jurnal Sains dan Teknologi, vol. 1, pp. 167–174, 2018, doi: 10.36412/frontiers/001035e1/agustus201801.04.

T. Rukhmana, “Analisis Fungsi dan Pentingnya Landasan Teori dalam Penulisan Karya Ilmiah,” Jurnal Edu Research: Indonesian Institute for Corporate Learning and Studies (IICLS), vol. 2, no. 2, pp. 28–33, 2021.

C. Rimbing, G. Rorimpandey, and V. Rantung, “Pengembangan Sistem Repositori Skripsi di Teknik Informatika Universitas Negeri Manado Berbasis Web,” JOINTER: Journal of Informatics Engineering, vol. 4, no. 2, pp. 39–48, 2023, doi: 10.53682/jointer.v4i02.241.

H. Sama and E. Hartanto, “Studi Deskriptif Evolusi Website dari HTML1 sampai HTML5 dan Pengaruhnya terhadap Perancangan dan Pengembangan Website,” Conference on Management, Business, Innovation, Education and Social Sciences (CoMBInES), vol. 1, no. 1, pp. 589–596, 2021.

A. Kennedy, W. H. Surya, and F. X. Wartoyo, “Tantangan dan Solusi Penerapan E-Government di Indonesia,” Jurnal Terapan Pemerintahan Minangkabau, vol. 4, no. 2, pp. 134–147, 2024, doi: 10.33701/jtpm.v4i2.4459.

S. F. Putri and S. D. B. Putri, “Perancangan dan Implementasi Sistem Informasi Pembelian dan Penjualan pada PD. SMH Bike,” Jurnal Sistem Informasi, vol. 12, no. 3, pp. 255–262, 2020.

W. Kramer, “Rancang Bangun Penjualan License Key Berbasis Web pada PT. GFSoft Indonesia,” Jurnal Comasie, vol. 2, no. 1, pp. 32–39, 2022.

E. S. Tri Sulistyorini and R. Ramadhan, “Pemantauan Kasus Penyebaran Covid-19 Berbasis Website Menggunakan Framework React JS dan API,” Jurnal Ilmiah Multidisiplin, vol. 1, no. 4, pp. 1–13, 2022, doi: 10.56127/jukim.v1i04.137.